Warning: unlink(/home/m134/web/electroelan.com.ua/public_html/storage/cache/cache.catalog.language.1773404190): No such file or directory in /home/m134/web/electroelan.com.ua/public_html/system/library/cache/file.php on line 68 Універсальний блок захисту УБЗ-301 5-50 А
Каталог товарів
Меню

Універсальний блок захисту УБЗ-301 5-50 А

0 відгуків
Код:

3 708 грн.
В наявності
Доставка. Самовивіз з поштових відділень Нова Пошта та Укр Пошта або доставка кур'єром на адресу

Оплата. Оплата під час отримання товару, Google Pay, Безготівковий для юридичних та фізичних осіб, Apple Pay, Передплата на картку продавця, Оплата карткою Visa/MasterCard

Гарантія. 12 місяців
Обмін/повернення товару впродовж 14 днів
Опис
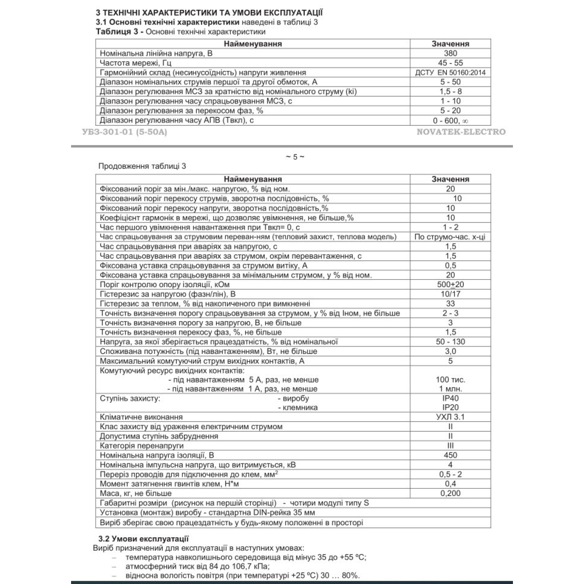
Універсальний блок захисту електродвигунів УБЗ-301 (далі по тексту блок) призначений для постійного контролю параметрів мережевої напруги і діючих значень фазних/лінійних струмів трифазного електрообладнання 380 В/50 Гц, в першу чергу, асинхронних електродвигунів (ЕД), потужністю від 2,5 кВт до 315 кВт, у тому числі і в мережах з ізольованою нейтраллю. Випускаються три модифікації приладу по номіналах струму: УБЗ-301 5-50A; УБЗ-301 10-100A; УБЗ-301 63-630A. Здійснює повну і ефективну захист електрообладнання відключенням від мережі і/або блокуванням його пуску в наступних випадках: неякісному мережевому напрузі (неприпустимі скачки напруги, обрив фаз, порушення чергування і злипання фаз, перекосу фазних/лінійних напруг); механічних перевантаженнях (симетричний перевантаження по фазним/лінійних струмів) — захист від перевантаження із залежною витримкою часу; несиметричних перевантажень по фазним/лінійних струмів, пов“язаних з ушкодженнями всередині двигуна — захист від перекосів фазних струмів з подальшою забороною АПВ; асиметрії фазних струмів без перевантаження, пов“язаних з порушенням ізоляції всередині двигуна і/або підвідного кабелю; зникнення моменту на валу ЕД («сухий хід» — для насосів) — захист щодо мінімального пускового та/або робочого струму; при неприпустимо низькому рівні ізоляції на корпус — перевірка перед включенням з блокуванням пуску при поганій ізоляції; замикання на «землю» обмотки статора під час роботи — захист від струмів витоку на землю«. Блок забезпечує захист електрообладнання шляхом управління котушкою магнітного пускача (контактора). Виконує наступні функції: просту і точну установку номінального струму ЕД, використовуючи стандартну шкалу номінальних струмів; встановлення робочого струму ЕД, відмінного від стандартних значень з урахуванням довгостроково допустимої перевантаження; срабатывание по перегрузу с зависимой выдержкой времени. Токо-временная характеристика приведена на рис. 2. Эта характеристика построена для условно холодного двигателя. В процессе работы решается дифференциальное уравнение теплового баланса ЭД. Такой подход позволяет учитывать предыдущее состояние ЭД и наиболее достоверно принимать решение о наличии тепловой перегрузки. Этот метод позволяет также учесть нагрев ЭД при пусках и ограничить (по желанию заказчика) их число в единицу времени; возможность сдвигать токо-временную характеристику как по оси токов (пот. № 1,2), так и по оси времени (пот. № 3 — время срабатывания при 2-х кратном перегрузе); выставление порогов срабатывания по минимальному/максимальному напряжению, перекосу линейных напряжений и фазных токов, а также времени автоматического повторного включения по усмотрению заказчика самостоятельно; индикацию вида аварии, наличия сетевого напряжения, токового диапазона, на который настроен блок и включения нагрузки; через блок обміну БО-01 дозволяє здійснювати обмін та передачу інформації по протоколу RS-485 (БО-01 поставляється під замовлення).
Характеристики
Стан Нове
Матеріал корпусу Пластик
Ступінь захисту IP 40
Тип монтажу На DIN рейку
Частота струму 50
Кількість контактів, що розмикають 2
Максимальна температура навколишнього середовища 55
Мінімальна температура навколишнього середовища -35
Номінальна робоча напруга за змінним струмом 380
Номінальний струм 50
Захист від перепадів напруги Так
РК дисплей Ні
Відгуки покупців
Написати відгук
Ваша оцінка